next up previous notation contents
Next: 3.3.29 Concave UpDown Functions Up: 3.3 Linear Interval Arithmetic Previous: 3.3.27 Partial Binary Functions

3.3.28 Examples with a Binary Partial Function

Consider the division function, tex2html_wrap_inline35491 , which is both partial and tex2html_wrap_inline32891 -bumpy. For the division function,

math16326

math16336

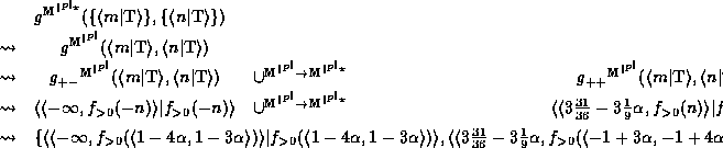
The evaluation of tex2html_wrap_inline37223 ,

math23492

proceeds as follows:

math23506

The division function is defined unless the divisor is zero:

math16694

In the evaluation above, tex2html_wrap_inline37235 is evaluated:

math23568

For general binary functions, it may be natural to introduce more than a single new constraint after a function application. Enhancing tex2html_wrap_inline36635 and tex2html_wrap_inline36637 allows this; the common binary functions do not naturally introduce multiple constraints. The members of tex2html_wrap_inline33287 influence this decision.

figure23600


next up previous notation contents
Next: 3.3.29 Concave UpDown Functions Up: 3.3 Linear Interval Arithmetic Previous: 3.3.27 Partial Binary Functions
Jeff TupperMarch 1996