next up previous notation contents
Next: 3.3.15 Periodic Functions Up: 3.3 Linear Interval Arithmetic Previous: 3.3.13 Example with a Concave

3.3.14 Example with a Piecewise Concave Function

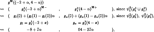
Consider the cubing function, tex2html_wrap_inline36257 , which is a piecewise concave function. An example evaluation follows:

math19229

with

math19245

math19253

math19257

Examination of the following figure may aid the reader's comprehension of the preceding evaluation.

figure19261


next up previous notation contents
Next: 3.3.15 Periodic Functions Up: 3.3 Linear Interval Arithmetic Previous: 3.3.13 Example with a Concave
Jeff TupperMarch 1996