next up previous notation contents
Next: 3.3.20 Bumpy Functions Up: 3.3 Linear Interval Arithmetic Previous: 3.3.18 Discontinuous Functions

3.3.19 Examples with a Discontinuous Function

We now consider an example discontinuous function, the floor function:

math20550

The function g is continuous for non-integral arguments:

math20555

We let the continuity description set include tex2html_wrap_inline36567 :  

math20560

This allows a trivial implementation of tex2html_wrap_inline36569 :

math20565

Which, in turn, allows a trivial implementation of tex2html_wrap_inline36571 :

math20573

since v is a member of tex2html_wrap_inline32891 . If a tex2html_wrap_inline36577 model is evaluated, the resulting continuity description v may be demoted, as was done previously with domain descriptions.

The evaluation of tex2html_wrap_inline36581 ;

math20582

proceeds as follows:

math20590

The following figures graphically illustrate portions of the preceding evaluation.

figure20616

Let tex2html_wrap_inline36631 include tex2html_wrap_inline36633 :  

math20934

We will now illustate, more fully, the role of tex2html_wrap_inline36635 and tex2html_wrap_inline36637 .

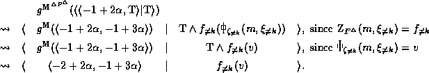
The evaluation of tex2html_wrap_inline36581 ;

math20939

proceeds as follows:

math20949

Portions of the preceding evaluation are depicted in the following figures.

figure20981


next up previous notation contents
Next: 3.3.20 Bumpy Functions Up: 3.3 Linear Interval Arithmetic Previous: 3.3.18 Discontinuous Functions
Jeff TupperMarch 1996